
中国是全球糖尿病第一大国,2015年病患人数高达1.096亿人,130万人死于糖尿病及其并发症,如果不加干预,2040年我国患者数量将上升至1.54亿。糖尿病最主要的致死因素是心血管并发症,数据显示,心血管疾病导致的死亡占糖尿病全因死亡的50.45%!
空腹血糖是指在隔夜空腹(至少8~10小时未进任何食物,饮水除外)后,早餐前采的血浆检测出的血糖值,能反映胰岛B细胞功能,一般表示基础胰岛素的分泌功能,是糖尿病最常用的检测指标。具体来说,空腹血糖值可以反映患者在无糖负荷刺激状态下的基础胰岛素的分泌水平及肝脏葡萄糖输出情况;用以评估头天晚上降糖药用量是否合适;空腹血糖也可作为糖尿病的诊断标准之一。
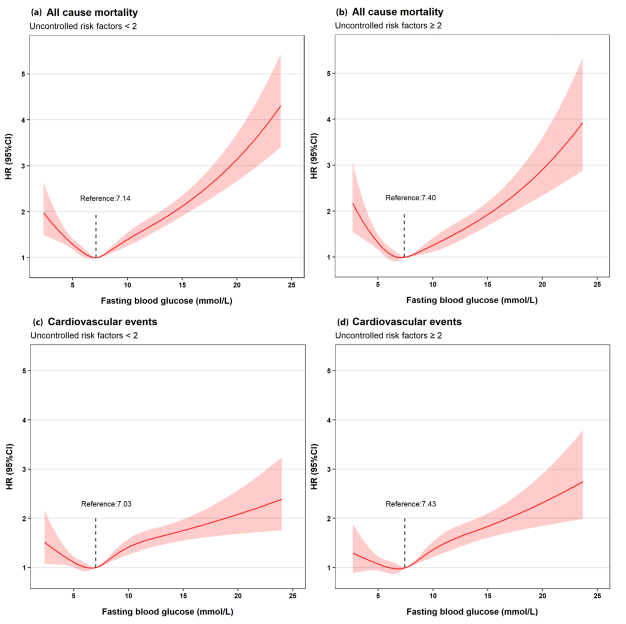
理想的血糖水平可降低全因死亡率和心血管事件风险,尤其是老年糖尿病患者对空腹血糖异常更敏感,因此控制空腹血糖对预防死亡和心血管疾病事件至关重要!近日,一项发表于J Diabetes Investig的中国研究结果显示,空腹血糖值在5.50 ~ 7.50 mmol/L范围内与全因死亡率和心血管疾病事件风险最低;而空腹血糖<4.50 mmol/L或>11.50 mmol/L时,患者的死亡率和心血管疾病风险会增加。
来源:DOI: 10.1111/jdi.14196
具体来说,研究共纳入了59030名来自中国的老年糖尿病患者,并根据他们最初的血糖水平将他们分成了9组。研究发现,空腹血糖水平与死亡率和心血管疾病事件之间存在一种特殊的关系,就像一个"J"型曲线一样。图1 A全因死亡率(根据基线空腹血糖水平按未控制的危险因素分层<2)、B全因死亡率(根据基线空腹血糖水平按未控制的危险因素分层≥2)、心血管事件C(根据基线空腹血糖水平按未控制的危险因素分层<2)、D(根据基线空腹血糖水平按未控制的危险因素分层≥2)相关最低危险点分别为7.14、7.40、7.03和7.43 mmol/L在研究期间,共有5637人死亡,4904人发生了心血管疾病事件。其中,空腹血糖<4.50 mmol/L或高于11.50 mmol/L时,患者的死亡率和心血管疾病风险会增加。而最佳的空腹血糖范围是在5.50 ~ 7.50 mmol/L之间,这个范围内的患者的风险最低。此外,研究还发现,如果患者有两个或更多的心血管疾病风险因素,他们的最佳空腹血糖水平会比风险因素较少的患者要高。
6.1、7.8、11.1这几个数值,需注意!
糖尿病前期是指个体血糖水平高于正常水平,但尚未达到糖尿病诊断标准的阶段。也就是介于正常血糖和糖尿病诊断标准之间的状态,如果不干预,可能很快发展成糖尿病。糖尿病前期,包括:

如何保持空腹血糖稳定?
规律饮食
- 分配饮食:将每日的食物分为多个小份,每隔3至4小时进食一次,避免过度饥饿或饱食。
- 控制碳水化合物:选择低GI(血糖指数)的碳水化合物,如全谷类、豆类、蔬菜和水果,以控制血糖的上升速度。
- 控制脂肪和蛋白质:减少摄入高脂肪和高蛋白的食物,因为它们可能导致血糖升高。
- 自我监测:根据医生的建议,定期自我监测血糖水平,尤其是在餐前、餐后和运动前后。目前动态血糖监测( CGM)和自我血糖监测(SMBG)都可以有效评估血糖波动程度。与SMBG相比,CGM可以提供更全面的血糖信息,了解血糖波动的趋势,发现不易被传统监测方法所检测到的高血糖和低血糖。CGM技术在提供即时葡萄糖信息的同时还可提供高、低血糖预警以及报警功能,协助医生及患者进行即时血糖调节。有循证医学证据表明在CGM指导下进行血糖管理,可以达到更好的降糖效果,且糖化血红蛋白(HbA1c)水平的下降幅度与CGM的使用频率呈正相关,即经常性进行实时CGM,血糖控制效果更佳。
- 记录数据:记录每天的饮食、运动和血糖监测结果,以便追踪变化并与医生分享。
保持体重
[1]Wang L, Zhang W, Dai J, Deng Q, Yan Y, Liu Q. Associations of fasting plasma glucose with all-cause mortality and cardiovascular events in older Chinese diabetes patients: A population-based cohort study. J Diabetes Investig. 2024 Apr 9. doi: 10.1111/jdi.14196. Epub ahead of print.